<< Click to Display Table of Contents > 

SAMLight Manual > Option MOTF > Hardware setup > Card Specific: RTC cards

Card Specific: RTC cards
Previous pageReturn to chapter overviewNext page

Here, the individual options for RTC cards (RTC3, RTC4, RTC5 and RTC6) are described. Make sure that the hardware license for the RTC card (from SCANLAB) includes Marking on the Fly option.

For RTC cards, the following MOTF channels are available:

RTC3/4/5/6

differential tracks:

16-pin connector: Encoder X1+

16-pin connector: Encoder X1-

16-pin connector: Encoder X2+

16-pin connector: Encoder X2-

16-pin connector: Encoder Y1+

16-pin connector: Encoder Y1-

16-pin connector: Encoder Y2+

16-pin connector: Encoder Y2-

Table 60: Possible MOTF connection for RTC cards

To get to the dialog, choose Menu bar → Settings → System → Card → Advanced → Driver Settings for RTC3, RTC4, RTC5 or RTC6. Enable Marking On The Fly and then go to Settings.

MOTF_RTC3_Dialog

Figure 429: MOTF Settings for RTC Cards

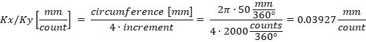
Encoder Kx/Ky: Distance in x/y direction per encoder count. Example of a RTC MOTF-Kx/Ky calculation. In this calculation the radius of the encoder wheel is 50 mm and the encoder is generating 2000 pulses per track (A and B) and full rotation:

MOTF-Multiplier_Calculation_RTC

External Trigger: Allows to define an offset between external trigger pulse and the start of the job process. The offset is defined by Delay and the unit is encoder steps.

RTC3/4: Simulation must be Off. The Delay value is internally multiplied by 16 counts.

RTC5/6: The unit of Delay is encoder counts.

Simulate Ext Start: Allows to repeat the job automatically. The gap between the jobs is defined by Delay and the unit is encoder steps.

RTC3/4: The Delay value is internally multiplied by 16 counts.

RTC5/6: The unit of Delay is encoder counts.

The trigger mode (Mark → Trigger) must be used.

The initial job must be started with an external trigger signal on /START.

Depending on the direction of the belt, a positive or negative number must be entered.

Simulation: Encoder pulses will be simulated with a constant pulse frequency of 1 MHz.

Off: No simulation

Encoder X: Simulation in X-direction

Encoder Y: Simulation in Y-direction

note

If the marking is started with an external trigger (sensor), it is recommended to start the marking in trigger mode (Mark → Trigger) to avoid jitter of the position.

Simulation can be used with all RTC cards (RTC3/4/5/6).

MOTF control objects (ScMotfOffset and ScWaitForTrigger) can only be used with RTC5/6 cards (not with RTC3/4).